Web Analytics Made Easy - Statcounter
what is meant by threshold frequency (pdf) comparative study of grid frequency stability using flywheel

what is meant by threshold frequency (pdf) comparative study of grid frequency stability using flywheel

Work function: formula & relation to threshold frequency

If you are searching about How to Calculate Threshold frequency - YouTube you've visit to the right place. We have 35 Images about How to Calculate Threshold frequency - YouTube like [ANSWERED] Maximum kinetic energy of emitted electron depends on - Kunduz, The threshold frequency v0 for a metal is 5 0 *10 ^14s what will be the and also BOHR’S MODEL OF ATOM Find the frequency of revolution of the electron. Here you go:

How To Calculate Threshold Frequency - YouTube

How to Calculate Threshold frequency - YouTube www.youtube.com

Active Power Characteristic Of Renewable Generation At Over Frequency

Active power characteristic of renewable generation at over frequency www.researchgate.net

Selecting For Functional Alternative Splices In ESTs

Selecting for Functional Alternative Splices in ESTs genome.cshlp.org

A Light Of Wavelength 1240 Nm Incident On A Metal Having Threshold

A light of wavelength 1240 nm incident on a metal having threshold www.numerade.com

Frequency Festival In Lincoln Is A Triumph Of Community And Virtual

Frequency Festival in Lincoln is a triumph of community and virtual server.stirworld.com

[Solved]: The X-intercept On The Graph Represents The Thresh

[Solved]: The x-intercept on the graph represents the thresh www.solutionspile.com

10) Use This Graph Calculate I) Threshold Frequency Ii) Work Function Of

10) Use this graph calculate i) Threshold frequency ii) Work function of askfilo.com

Threshold Frequency | Cambridge (CIE) A Level Physics Revision Notes 2023

Threshold Frequency | Cambridge (CIE) A Level Physics Revision Notes 2023 www.savemyexams.com

SOLVED: The Work Function For Tungsten Is 4.58 EV. (a) Find The

SOLVED: The work function for tungsten is 4.58 eV. (a) Find the www.numerade.com

1.0 Multiple Analyers

1.0 Multiple Analyers www.columbia.edu

spatial multiple frequency summation gif

Wave-Particle Duality - Examples, Definition, Formula, Uses, FAQ's

Wave-Particle Duality - Examples, Definition, Formula, Uses, FAQ's www.examples.com

BOHR’S MODEL OF ATOM Find The Frequency Of Revolution Of The Electron

BOHR’S MODEL OF ATOM Find the frequency of revolution of the electron www.toppr.com

What Is Photoelectric Effect?

What is Photoelectric Effect? physicscalculations.com

Photoelectric Effect - Unifyphysics

Photoelectric Effect - Unifyphysics unifyphysics.com

Selecting For Functional Alternative Splices In ESTs

Selecting for Functional Alternative Splices in ESTs genome.cshlp.org

Photoelectric Effect Vs. Compton Effect — What’s The Difference?

Photoelectric Effect vs. Compton Effect — What’s the Difference? www.askdifference.com

Threshold Frequency | CIE A Level Physics Revision Notes 2025

Threshold Frequency | CIE A Level Physics Revision Notes 2025 www.savemyexams.com

[ANSWERED] Maximum Kinetic Energy Of Emitted Electron Depends On - Kunduz

[ANSWERED] Maximum kinetic energy of emitted electron depends on - Kunduz kunduz.com

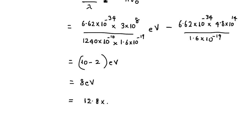
(ii) Work Function And (iii) Threshold Frequency (h=6.62×10−34Js). Solve

(ii) Work function and (iii) Threshold frequency (h=6.62×10−34Js). Solve askfilo.com

TM 216E – TOMORE

TM 216E – TOMORE tomore.net

SOLVED: Find Planck's Constant, The Work Function Of The Metal And The

SOLVED: Find Planck's constant, the work function of the metal and the www.numerade.com

Digital Image Processing Questions | PDF

Digital image processing questions | PDF www.slideshare.net

(PDF) Comparative Study Of Grid Frequency Stability Using Flywheel

(PDF) Comparative Study of Grid Frequency Stability Using Flywheel www.researchgate.net

The Threshold Frequency V0 For A Metal Is 5 0 *10 ^14s What Will Be The

The threshold frequency v0 for a metal is 5 0 *10 ^14s what will be the www.meritnation.com

Trigger5

Trigger5 studylib.net

The Schematic Diagram Of The A Decoder (Photo/Picture Credit: Original

The schematic diagram of the a decoder (Photo/Picture credit: Original www.researchgate.net

The Work Function Of A Photoelectric Material Is 3.32 EV. The Threshold

The work function of a photoelectric material is 3.32 eV. The threshold edurev.in

GitHub - Angelorosu/Photoelectric-Simulator

GitHub - angelorosu/Photoelectric-Simulator github.com

Photoelectric Effect - Unifyphysics

Photoelectric Effect - Unifyphysics unifyphysics.com

TM 216E - TOMORE

TM 216E - TOMORE tomore.net

Answer For This Question - Brainly.in

answer for this question - Brainly.in brainly.in

Work Function: Formula & Relation To Threshold Frequency | Electrical4U

Work Function: Formula & Relation To Threshold Frequency | Electrical4U www.electrical4u.com

function work frequency threshold graph formula energy equation electrical4u axis represents relation vertical electron here

Photoelectric Effect Explained: Unlocking Quantum Physics

Photoelectric Effect Explained: Unlocking Quantum Physics scienceinfo.com

Let’s Define: Demystifying The Concept Of Threshold Frequency

Let’s Define: Demystifying the Concept of Threshold Frequency tfiglobalnews.com

Photoelectric Effect - Unifyphysics

Photoelectric Effect - Unifyphysics unifyphysics.com

Wave-particle duality. Let’s define: demystifying the concept of threshold frequency. What is photoelectric effect?